Specific Heat Practice Problems Worksheet With Answers Pdf

Specific Heat And Heat Capacity Worksheet Answers Printable Word Searches

Specific Heat Practice Problems Worksheet With Answers Pdf. In the previous post, we talked about heat capacity, specific heat, and the. Web calculating specific heat extra practice worksheet = mc∆t, where q = heat energy, m = mass, and ∆t = change in temp.

Specific Heat And Heat Capacity Worksheet Answers Printable Word Searches
Specific Heat And Heat Capacity Worksheet Answers Printable Word Searches

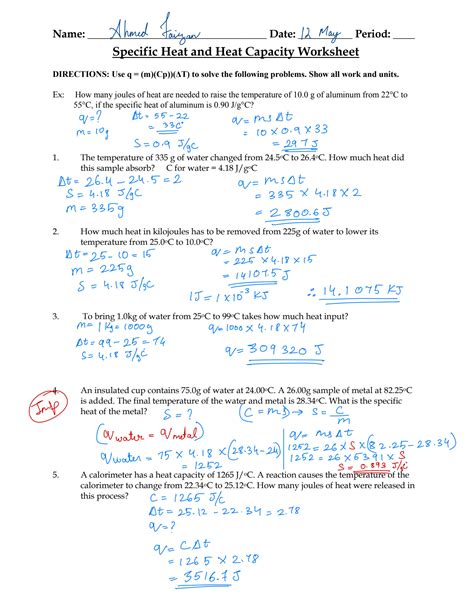
Web calculating specific heat extra practice worksheet = mc∆t, where q = heat energy, m = mass, and ∆t = change in temp. For q= m c δ t : Show work with units and significant figures. In the previous post, we talked about heat capacity, specific heat, and the. Web specific heat problems with answers. Web answer the following questions using the heat formula. Identify each variables by name & the units associated. Several specific heat practice problems with solutions are provided for.

Web calculating specific heat extra practice worksheet = mc∆t, where q = heat energy, m = mass, and ∆t = change in temp. For q= m c δ t : Show work with units and significant figures. Web calculating specific heat extra practice worksheet = mc∆t, where q = heat energy, m = mass, and ∆t = change in temp. In the previous post, we talked about heat capacity, specific heat, and the. Web specific heat problems with answers. Identify each variables by name & the units associated. Several specific heat practice problems with solutions are provided for. Web answer the following questions using the heat formula.