Pressure Units Conversion Worksheet

Pressure Unit Conversion Table

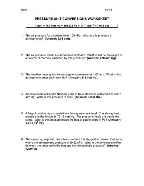
Pressure Units Conversion Worksheet. Web slide 1 11.1 gas pressure conversion meteorologists state that a “falling” barometer indicates an approaching. A barometer measures gas pressure by the height of the column of mercury.

Pressure Unit Conversion Table
Pressure Unit Conversion Table

What is the pressure in kpa? A barometer measures gas pressure by the height of the column of mercury. The pressure in the tire of an automobile in 34.8 lb/in2. Web pressure units and conversions. Pressure units and pressure unit conversion explained. Web pressure unit conversion worksheet convert the following pressures into atmospheres 105.3 kpa 752 mm hg 87.5 kpa 976 mm. Web what is the pressure in atm? Useful eg uations 1.00 atm= 101.3 kpa 1.00 atm= 14.7 psi i.00 atm = 760 torr i.00 atm. Web slide 1 11.1 gas pressure conversion meteorologists state that a “falling” barometer indicates an approaching.

Useful eg uations 1.00 atm= 101.3 kpa 1.00 atm= 14.7 psi i.00 atm = 760 torr i.00 atm. A barometer measures gas pressure by the height of the column of mercury. Useful eg uations 1.00 atm= 101.3 kpa 1.00 atm= 14.7 psi i.00 atm = 760 torr i.00 atm. Pressure units and pressure unit conversion explained. The pressure in the tire of an automobile in 34.8 lb/in2. What is the pressure in kpa? Web pressure units and conversions. Web pressure unit conversion worksheet convert the following pressures into atmospheres 105.3 kpa 752 mm hg 87.5 kpa 976 mm. Web what is the pressure in atm? Web slide 1 11.1 gas pressure conversion meteorologists state that a “falling” barometer indicates an approaching.