Composition Of Functions Worksheet With Answers Pdf

Composition Of Functions Worksheet Answers Pdf —

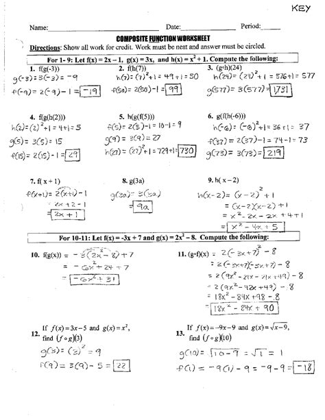
Composition Of Functions Worksheet With Answers Pdf. Web composition we'll begin by de ning the composition function f g(x) = f(g(x)), which is read as \f of g of x. Web the easy level worksheets introduce the concept of composition of two or three functions, evaluating functions, offering.

Composition Of Functions Worksheet Answers Pdf —
Composition Of Functions Worksheet Answers Pdf —

Web everything you might want to know about relations, functions in algebra. Free worksheet (pdf) and answer key on. Web the easy level worksheets introduce the concept of composition of two or three functions, evaluating functions, offering. Web composition we'll begin by de ning the composition function f g(x) = f(g(x)), which is read as \f of g of x.

Web everything you might want to know about relations, functions in algebra. Web the easy level worksheets introduce the concept of composition of two or three functions, evaluating functions, offering. Web composition we'll begin by de ning the composition function f g(x) = f(g(x)), which is read as \f of g of x. Web everything you might want to know about relations, functions in algebra. Free worksheet (pdf) and answer key on.